Politics & Government
Metrics For Reopening Orange County Pass Unanimously
After reviewing Gov. Gavin Newsom's guidelines to end business closures, Orange County plans its own roadmap for reopening amid coronavirus.
ORANGE COUNTY, CA — Tuesday's Board of Supervisors meeting came with some good news for Orange County residents who are hopeful to go back to work in the new normal during the coronavirus pandemic. The Orange County Board of Supervisors voted 5-0 on best practices for both businesses and the public to follow, as a model for reopening the county.
No, Orange County's Board of Supervisors is not recommending businesses reopen without a specific metric for doing so. (See below).
The county has guidelines that must be satisfied before a business can reopen their doors, according to Supervisor Don Wagner.
Find out what's happening in Orange Countyfor free with the latest updates from Patch.
On Wednesday, the Orange County Health Care Agency reported two more people have died, and another 108 residents have tested positive for coronavirus. A total of 2,252 residents have tested positive for coronavirus within the county. As of Wednesday, 44 residents have died as a result of COVID-19, the disease caused by coronavirus. Of Orange County's 3.2 million residents, only 29,940 residents have been tested as of this report.
Still, measures put into place to "flatten the curve" and keep hospitals from being overcrowded appear to be working, according to the Orange County Healthcare Agency.
Find out what's happening in Orange Countyfor free with the latest updates from Patch.
County officials say they are already close to or at phase 2 of Gov. Gavin Newsom's road to reopening. The county reiterated that they are operating under the state of California's safer at home orders, and is not yet reopening nonessential businesses.
Supervisor Don Wagner spoke out during a recent radio show on the reopening in Orange County and what it would mean to the county on a morning radio program.
"I believe there are businesses that can reopen but have not had the clarity to know what the county was going to do," Wagner said. "As long as you can do these things to satisfy Orange County's guidelines, and the county will not come after you."
According to Wagner, companies can reopen, as long as they don't counter the governor's orders.
On Tuesday, Gov. Gavin Newsom outlined four targets that will have to be met to end the statewide "safer at home" initiative. Read more about Newsom's Tuesday news briefing here.
The governor said statewide data show the number of COVID-19 hospitalizations and ICU admissions have stabilized, which is why California is looking to begin a slow, gradual reopening of the economy. Newsom cautioned, though, "We're not going back to the way things were" until a COVID-19 vaccine is available.
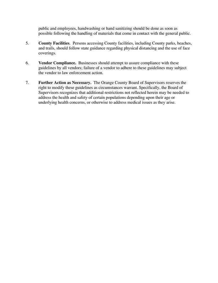
The Orange County Board of Supervisors believe their specific guidelines, or metrics, will clearly define the reopening of businesses in Orange County:
- First, the Federal Government and the State of California's guidelines for reopening must not be overruled by these metrics.
- If you are sick, you should remain home, instead of going out for work or supplies. If you are a high-risk person, over 65, or suffering a chronic illness, you should continue to follow the stay at home orders.
- Business owners must enforce physical distance in the workplace. If you cannot have work stations 6 feet or more apart, masks must be worn. Businesses are encouraged to allow telecommuting by employees when practical.
- Hand washing & Personal Protective Equipment: all employers require all workers to wear disposable gloves, or wash their hands or use hand sanitizer every 30 minutes. Business owners must provide face coverings to all employees.
- All employees should have their temperature taken before a shift, and not be allowed to work with a temperature of over 100.4 degrees.
- All customers should wear "appropriate face coverings."
- Every business should "limit touchpoints" and "increase frequency of sanitizing workstations and equipment."
Any business in Orange County that can safely comply with the above rules will not face repercussions from the county of Orange, according to Wagner and Steel.
As ever, the county reserves the right to modify the guidelines as circumstances warrant, they wrote.
Visitors to county facilities, including county parks, beaches or trails, should follow all state rules regarding social and physical distancing, and use face coverings for the foreseeable future.
The county, in their assessment, has acted diligently and put measures into place that are still working in keeping the numbers of residents sickened with the coronavirus low.
"As we transition back to business as usual, we must do so in a manner that is conscious of the public health but also addressing the needs of businesses and their employees who need to put food on the table," Chairwoman Michelle Steel wrote.
Of the impacts coronavirus shutdown has had on area businesses, Steel says the guidelines approved by the board best reflect business needs while keeping in line with public health recommendations.
Don't miss updates about the coronavirus in California as they are announced. Sign up for Patch news alerts and newsletters.


Get more local news delivered straight to your inbox. Sign up for free Patch newsletters and alerts.