Schools
Scandal... The Untold Story Behind The Resignation of CUSD Trustee Lynn Hatton-Hodson
It all started with the accidental discovery of a $10,000 payment to the ACSA Foundation for Educational Administration.
This Article is not formatted for the patch- the full article can be read at this link: https://cusdwatch.com/index.ph...
| Scandal... The Untold Story Behind The Resignation of CUSD Trustee Lynn Hatton-Hodson |
PART 1: BACKGROUND![]() ![]() It all started with the accidental discovery of a $10,000 payment to the ACSA Foundation for Educational Administration. Source: August 17, 2016 CUSD Board of Trustees Meeting Agenda page 26. |
Find out what's happening in San Clementefor free with the latest updates from Patch.

ACSA is the Association of California School Administrators.
Find out what's happening in San Clementefor free with the latest updates from Patch.
Source: http://acsaregionxiv.weebly.com/foundation-for-educational-administration.html

The Association of California School Administrators (ACSA) assembled a team of education experts to form LCAP California. The "Experts" included:
1. The Association of California School Administrators.
2. Progress Advisors
3. InnovateEd (Trustee Lynn Hatton-Hodson's Company)


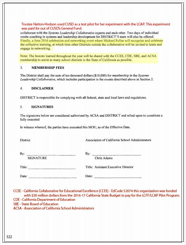
The $10,000 payment is linked to an MOU that was approved by the CUSD Board of Trustees at the December 9, 2015 Board Meeting Agenda Item #33 on page 321

Note: Dr. Susan Holiday is the Contact for this Item and that this money is coming out of the General Fund.


Note: The Board approval of the ACSA "MOU" was done on 12/9/15. Trustee Hatton was absent and the matter went through the consent agenda without discussion.
This should not be an "MOU", it is a contract for services, and there is $10,000 payment involved.
What is being purchased is a "Membership" in "Systems Leadership Collaborative". A simple Google search on the term "Systems Leadership Collaborative, shows that the first and only relevant result is InnovateED, Trustee Lynn Hattons company.
In other words, CUSD purchased services from a business owned by a Trustee, using a contract disguised as an MOU with an innocuous sounding association.
The vote to approve this MOU was done on the Consent Calendar - Trustee Hatton-Hodson was absent. Being Absent from a meeting is not an excuse.
"Where an officer is a member of a board that has the power to execute a contract, the member is conclusively presumed as a matter of law to be involved in making of the board's contracts- regardless of whether the member actually participates in the making of a contract."
97 Ops.Cal.Atty.Gen. 70, 71 (2014). See, also, Thomson v. Call, 38 Cal.3d 633 (1985); Fraser- Yamor Agency, Inc. v. County of Del Norte, 68 Cal.App.3d 201, 211-12 (1977); 89 Ops.Cal.Atty.Gen. 49, 50 (2006).
The Relationship between InnovateEd and Systems Leadership Collaborative
Systems Leadership Collaborative is lead by ACSA, Fullan, InnovateEd, The Flippen Group, and Fagen, Friedman and Fulfrost.

The flyer on ACSA's website for Systems Leadership Collaborative clearly shows a program that encompasses much more than just the LCAP.



Note: The State of California made the decision to adopt the Canadian model of education (Following Michael Fullan). Under this model, the emphasis is on Professional Development of educators and less emphasis on class size and differentiated learning. Under this model, CUSD staff (without Board approval) made the decision to stop funding accelerated programing for high achieving students. Class sizes are to large at all grade levels, and teachers are chronically absent to attend trainings. The end result; as shown by performance on CUSD's LCAP, is a decline in the academic performance of all students across all demographics.
The CUSD 2016-17 LCAP: Article Why California's LCAP does not work. A case study: The Capistrano Unified School District
PART 2- Conflict of Interest Investigation into Trustee Hatton-Hodson Published Article Leads to DA investigation and Emergency Action is taken by CUSDOn August 25, 2016 an article was written entitled: "CUSD donates $10,000 to the Foundation for Education" On August 28, 2016 a Complaint was filed with the District Attorney asking for an investigation into the Conflict of Interest allegations. On August 30, 2016 CUSD held a Special Closed Session Board Meeting: Conference with Legal Counsel- Anticipated Litigation |
August 30, 2016 CUSD Board Meeting Agenda

Board Audio at 1:40 Blue Card Dawn Urbanek re: December 9, 2015 MOU
Board Audio at 3:27 Superintendent Vital Reads Statement
Board Audio at 9:12 Statement by Lynn Hatton-Hodson
Note: It should be noted that the room was filled with Educators who came to support Trustee Hatton- Hodson. How did they know what was on this Agenda? The Public had know way of knowing.
Superintendent Vital's Statement![]()
Note: The effective date of the MOU is October 1, 2015. Staff did not bring the MOU to the Board for approval until December 9, 2015 after 2 days of fall training had already been completed.
ACSA obviously contracted with InnovateEd BEFORE October 1, 2015 (the effective date of the MOU)
The Relationship between InnovateEd and ACSA started in July 2013.
See Article: Trustee Hatton-Hodson's Form 700 Statement of Economic Interests
ACSA Phase 1 Implementation Summary, July 2013 to June 2015.

Note: InnovateEd was an integral partner in ACSA's plan for California's vision of California Education under Local Control. Trustee Hatton- Hodson used CUSD as a guinea pig for her business interests and greatly influenced CUSD decisions on the LCAP, Local Control, purchasing, contracts and professional development. Her business InnovateEd has grown from less than a million dollars into a multi-million dollar education empire.
Government ethics and avoiding conflicts of interest are HER personal responsibility.
Trustee Haton - Hodson is an elected official and is responsible for her 700 form.
Board Policy 9270 clearly states that "Governmental Ethics and avoiding conflicts of interest are your personal responsibility".
It is a mis-use of taxpayer funds for CUSD to be retaining this firm to represent Lynn Hatton-Hodson and every Trustee who voted to approve this contract has breached their fiduciary duty to taxpayers and students.
January 27, 2015 Board Workshop Conflict of Interest Training


2014 Form 700s'
Note: In 2014-15 Trustee Hatton stated she was making less than $1 miilion dollars and listed a couple of Districts that paid her over $10,000. In 2016 she states she is making over $1 million dollars and fails to list any single reportable sources over $10,000. That should be cause for a Fair Political Practices Commission investigation with a reportable result.



2015 Form 700s'




2016 Form 700s'




September 7, 2016 A Fair Political Practice Complaint was filed.
Connections Continue to be discovered:
September 8, 2016 Article ACSA and CUSD - Lots of Connections between the two
September 15, 2016 Article CUSDs' $10,000 Donation to ACSA/Foundation for Education is to be refunded to avoid the "Appearance" of Conflict of Interest.
Note: The $10,000 payment was refunded by check on 8-26-17.
This document was obtained through a Public Records Request from Laura Ferguson.

In an un-dated letter Trustee Hatton- Hodson makes a request for CUSD to hire a specific law firm.
The Olson firm was specifically requested by Ms. Hatton-Hodson in a letter addressed to CUSD’s general counsel Mr. David Huff of the law firm of Orbach, Huff, Saurez & Henderson, LLP. [Hatton-Hodson ltr to Huff].
Note: This Document was obtained in a Public Records Request done by Craig Alexander.

Note: Olson, Hagel & Fishburn LLP work for ACSA. Isn't it a Conflict of Interest for CUSD to hire them on behalf of Trustee Hatton- Hodson?
See Documentation: Article: The Firm Law Firm Representing Lynn Hatton -Hodson in Conflict of Interest has financial ties to ACSA
Superintendent Vital Contacts Law Firm Olson Hagel & Fishburn LLP to Represent Trustee Lynn Hatton Hodson in Conflict of Interest Investigation
September 22, 2016 Lance Olsen signed the professional service agreement for CUSD to be approve at the September 26, 2017 Board Meeting.
September 23, 2016 (approximate date) CUSD Posts the September 28, 2016 Board meeting agenda.
"Interestingly the fee agreement between the Olson firm and the District identified the District as the Client not Ms. Hatton-Hodson."
Purchase Order #363064 actually started billing CUSD for Legal Services as early as September 20, 2016 PRIOR TO BOARD APPROVAL OF CONTRACT.
E-Mail from Trustee Reardon re: CUSD Paying for Trustee Hatton-Hodsons' legal fees
September 26, 2016 E-mail from Trustee Reardon to Kristen Vital with cc to Amy Hanacek.
"Provide legal services regarding Fair Political Practices Commission matters and related advice.".
Note: This document was provided by Craig Alexander and was obtained through a public records request.


Board Officially Hires the Law Firm Olson Hagel & Fishburn
September 28, 2016 Board of Trustees Meeting Agenda Item #4 (no page #) The fee agreement between the Olson firm and the District is approved.
Effective Date is September 29, 2016.
CUSD is identified as the "client", not Trustee Hatton-Hodson?
Fair Political Practices Commission Acknowledges Receipt of Sworn Complaint
September 28, 2016 Fair Political Practices Commission Acknowledges Receipt of Sworn Complaint Against Trustee Hatton-Hodson

Note: This letter is dated September 28, 2017. That is the day that the Board was to vote to hire Olson, Hagel & Fishburn. Yet, that firm is already being cc'd: on the letter.
CUSD actually retained Olson, Hagel & Fisburn LLP on September 20, 2016 WITHOUT BOARD APPROVAL (bills started 9-20-17)
Article: Firm Representing Trustee- Hatton-Hodson began legal Service prior to receiving Board Approval
Collaboration or Collusion?
Article: Collaboration or Collusion?
This article documents Trustee Hatton-Hodsons' business relationships and shows that CUSD has contracts with all her business partners: ACSA- Fagen Friedman & Fulfrost, Michael Fullan, The Flippen Group, Progress Advisors + more. Trustee Hatton-Hodson had GREAT INFLUENCE on Contracts and CUSD entered into contracts with every firm that InnovateEd partnered with.
Trustee Hatton-Hodson exercised undue influence on CUSD Staff and Board when it cam to the LCAP, Common Core Implementation, Local Control, and student data mining.
More Payments to ACSA
September 14, 2016 Board Meeting Agenda $4,210 in new payments to ACSA/Foundation for Education

CUSD Transactions with ACSA from July 1, 2015 - December 31, 2016
Supporting Documentation Article: CUSD Transactions with ACSA from July 1, 2015 - December 31, 2015


PART 3 The Conflict of Interest Investigation Takes a Very Odd Turn February 22, 2017 CUSD BOT MeetingBoard Audio at 56:02 Trustee Hatton-Hodson makes a statement from the Dais that there is no investigation currently. Trustee Hatton- Hodson Lies from the Dais:"There is NO Pending Conflict of Interest Case Against Her."February 23, 2017 E-mail to FPPC re: Trustee Hatton-Hodsons' statement
![]() February 23, 2017 E-mail to Special Prosecutor Ray Armstrong re: Trustee Hatton-Hodsons' statement
![]() February 23, 2017 E-mail response from Special Prosecutor Ray Armstrong![]() Many People discredited all the work I had been doing because of Trustee Hatton-Hodsons lie from the Dais. The only way to restore my credibility was to verify that there was still an ongoing investigation.February 23, 2017 E-mail to Special Prosecutor Ray Armstrong asking if I can share his response.![]() February 23, 2017 E-mail response from Special Prosecutor Ray Armstrong![]() Two Different Responses from Fair Political Practices Commission within Minutes of Each OtherFebruary 24, 2017 E-mail from Chloe Hackert FPPC at 11:19 am![]() February 24, 2017 E-mail from Adrianne Korchmaros FPPC at 11:22 am![]() February 24, 2017 E-mail to Adrianne Korchmaros FPPC at 11:30![]() ![]()
![]() ![]()
|
February 24, 2017 E-mail from Adrianne Korchmaros FPPC at 11:32

February 24, 2017 E-mail to Special Prosecutor Ray Armstrong re: Receipt of two responses from FPPC

February 24 Response from Ray Armstrong
February 28, 2017 Letter from Galena West, Chief enforcement Division FPPC

March 7, 2017 Letter to Galena West, Chief enforcement Division FPPC

Maybe there needs to be an investigation into the Fair Political Practices Commission; especially in light of their recent change to campaign finance laws to help Senator Josh Newman fight his recall.
Take the FAIR out of the Political Practice Commission's name.
At the April 19, 2017 BOT meeting Trustee Hatton-Hodson announces that she will resign effective June 2, 2017.
Note: She gave her letter of resignation to the County Office of Education- shouldn't it have gone to CUSD?

On her way out of the door, Trustee Hatton-Hodson asks that Board Policy be changed to LIMIT PUBLIC COMMENT
| At the September 28, 2016 Board Meeting Superintendent Vital read a Statement from CUSD Legal Counsel regarding possible Conflict of Interest charges against Trustee Lynn Hatton-Hodson. Board Audio at 192:58 "Our legal Counsel has opined that pursuant to BP 9270(b) the Board of Trustees are "designated employees and must disclose all categories defined. Therefore Trustee Hatton-Hodson is a designated employee for the purposes of filling out a Form 700 therefore this is a part of her scope of employment therefore she is entitled to defense under Government Code and Board policy. On advice of council the school district must respond to Trustee Hatton Hodson’s request for legal defense on or before October 16, 2016 and if it declines the defense, the Board must provide the basis for doing so per Government Code Section 995." Note: CUSD changed its Conflict of Interest Policy to Protect Trustee Hatton-Hodson. Source: Orange County Superintendent of Schools - California Law Governing Conflict of Interest California's conflict of interest statutes are based on the belief that a public official cannot serve two masters simultaneously, and that the duties of the public office demand absolutely loyalty and undivided, uncompromised allegiance of the individual that holds the office. People v. Honig (9196) 48 Cal.App.4th 289; Thomas v. Call (9185) 38 Cal 3rd 633) Two laws govern potential conflicts of interest for school district employees and board members:
Government Code 1090Government Code 1090 voids any contract made by a Trustee in their official capacity in which they have a financial interest. Section 1090 prohibits a Board from entering into any contracts that a Trustee has a financial interest in. It is not sufficient that the Trustee abstain from discussing or voting on the contract. When section 1090 applies, the entire Board is precluded from entering into the contract. Trustee Hatton-Hodson is the owner of InnovateEd. InnovateEd is Systems Leadership Collaborative. Membership in Systems Leadership Collaborative cost CUSD $10,000. This contract is void under section 1090. All CUSD contracts with the following entities should be void under California Government Code 1090:
The Political Reform Act of 1974Section 87100 “No public official at any level of state or local government shall make, participate in making, or in any way attempt to use his official position to influence a governmental decision in which he knows or has reason to know he has a financial interest.” |
It can be argued that Trustee Hatton-Hodsons used undue influence through her ownership of InnovateEd and her participation in Systems Leadership Collaborative and LCAPca to make CUSD a pilot for LCAPca. She used undue influence to have CUSD implement programs that required the District to enter into contracts with partners connected to her business.
CUSD has on-going contracts with:
- ACSA,
- Progress Advisors,
- InnovateEd
- Systems Leadership Collaborative,
- LCAPca,
- Michael Fullan
- Michael Fullan Enterprises
- The Flippen Group,
- Fagen, Friedman and Fulfrost.
just to name a few.
The Fair Political Practice Commission's Eight Step Analysis
To determine whether a conflict of interest exists under the Political Reform Act, the Fair Political Practice Commission (FPPC) has published a pamphlet that discusses the eight steps or eight questions that must be asked. The first three questions are comparatively easy to answer, while the remaining questions can be quite technical. Thus, if a district determines that the answer to the first three questions is “yes,” this is an indication of a potential conflict of interest. The district may then contact legal counsel or the FPPC.





- Trustee Hatton - Hodson owns InnovateEd.
- InnovateEd is a partner with ACSA and Progress Advisors in LCAPca
- InnovateEd is Systems Leadership Collaborative.
- Systems Leadership Collaborative is a partner with ACSA, Michael Fullan, The Flippen Group and Fagen, Friedman and Fulfrost who agreed to share data and results with the CCEE, CDE, SBE, and ASCA.
- CUSD paid the ACSA $10,000 for membership in Systems Leadership Collaborative - Trustee Hatton-Hodsons company.
• Gifts. You have a financial interest in anyone, whether an individual or an organization who has given you gifts which total $390129 or more within 12 months prior to the decision about which you are concerned.
- Trustee Hatton Hodson disclosed that her business was worth less than $1 million dollars on her form 700's for 2014 and 2015. In 2016 she stated her business was worth over $1 million dollars but did not disclose any sources of income over $10,000.00
- AT THIS POINT THE FPPC RECOMMENDS CONSULTATION WITH LEGAL COUNSEL AND/OR the FPPC FOR ASSISTANCE IN APPLYING THE CORRECT STANDARD.
- A case was opened. I never received a letter from the FPPC stating that there was no case until AFTER Trustee Hatton-Hodson announced that there was no case from the Dais at a board meeting.
| PART 4 - Governing by Consent and Limiting Public Speech |
| April 19, 2017 Meeting Agenda: http://capousd-ca.schoolloop.com/file/1218998819331/1455438848279/2226792177017631293.pdf April 19, 2017 Board Meeting Audio: http://cusd.capousd.org/cusdweb/audio2016-17/CUSD_BoardAudio_April-19-17.mp3 Board Meeting Audio at 32:39 CONSENT CALENDAR: These Items are NOT DISCUSSED unless the Item is pulled by Staff, Board or Public. "All matters listed under the Consent Calendar are considered by the Board to be routine and will be enacted by the Board in one motion in the form listed below. There will be no discussion of these items prior to the time the Board votes on the motion unless members of the Board, staff, or the public request specific items to be discussed and/or removed from the Consent Calendar. The Superintendent and the staff recommend approval of all Consent Calendar items." |
BLUE CARD- Dawn Urbanek
IT SHOULD BE NOTED THAT CUSD RULES BY CONSENT CALENDAR. THAT IS HOW STAFF HAS BEEN ALLOWED TO RUN THE DISTRICT AND TAKE ACTIONS THAT ARE ONLY BOARD APPROVED BECAUSE TRUSTEES ARE FORCED TO RELY ON STAFF TO DIGEST WHAT IS USUALLY AN 800 PAGE AGENDA. THIS BOARD MEETING AGENDA HAS 40 ITEMS AND IS 540 PAGES LONG. THIS IS THE FIRST AGENDA THAT I WAS NOT ABLE TO READ AND DIGEST PRIOR TO THE BOARD MEETING. TRUSTEES SHOULD HIRE A TRUSTED FULL TIME STAFF PERSON THAT DOES NOT ANSWER TO SUPERINTENDENT VITAL OR DISTRICT STAFF. A PERSON THAT CAN READ, RESEARCH AND DIGEST EACH OF THESE CONTRACTS- POLICIES AND ISSUES PRIOR TO THE MEETING AND ANY VOTE. TRUSTEES HAVE FULL TIME JOBS- THEY DO NOT HAVE TIME TO READ THE MATERIAL, DIGEST THE MATERIAL, LISTEN TO TAXPAYERS AND MAKE INFORMED DECISIONS THAT ARE IN THE BEST INTEREST OF STUDENTS AND TAXPAYERS. THE UNIONS IN COLLUSION WITH DISTRICT STAFF AND SUPERINTENDENT VITAL RUN CUSD WITHOUT BOARD IN-PUT. TRUSTEES ARE THERE TO GIVE "AFTER-THE-FACT" APPROVAL TO THE ILLEGAL ACTS OF STAFF.
STUDENTS AND TAXPAYERS ALWAYS LOOSE.
Example: Clark Hampton and Kristen Vital should be fired for cause over the Esencia K-8 land purchase where CUSD took it upon itself to gift the Ranch $13 million in taxpayer dollars.
District Staff received the Appraisal in Oct 2016. Staff chose NOT to share that appraisal with Trustees until it was time to vote on its approval at the February 22, 2017 Board meeting.
The Item had did not have a price in it.
Citizens had to ask to have the Item amended to reflect a price.
The Item was amended to reflect a price of $34 million ($2.4 million per acre). Prior to this Item the estimated value was always disclosed to be $21 million ($1.5 million per acre). Clark Hampton and Kristen Vital (Negotiators for this Purchase) valued the land as if it had 100 homes on it.
Staff had hoped to slide this through on consent with the inflated price, hoping no one would notice that the price had changed from $21 million to $34 million.
In an emergency meeting Kristen Vital agreed to sign the paperwork accepting this price because Board Clerk Patricia Holliday was not present. Kristen knew (or should have known) that she was not authorized to act as Board Clerk.
Superintendent Vital signed the documents - picked up an overnight bag and walked out of the meeting without her absence being noted on the record.
Sometime after that Trustee Pritchard pointed out the fact that he did not feel the documents were valid with Kristen Vital acting as Clerk. There was some discussion and Trustee Reardon agreed to "CO-SIGN" the documents.
This MOU was NEVER shown to the Public before they voted.
Two days after the meeting Staff added the MOU to the agenda listing as if it had been part of the meeting (a Brown Act Violation).
The signed document posted for the Public had been altered. There was one signature - not two, and the signature was unintelligible. This matter has been turned over to the District Attorney.
The Esencia K-8 Land purchase should never have been put on the Consent Calendar without a price.
Both Kristen Vital and Clark Hampton should be FIRED FOR CAUSE.
I have discovered many examples of CUSD abusing the Consent Calendar and one such example was the $10,000 MOU.
CUSD is now amending Board Policy to limit the number of blue cards, or time a member of the public can speak on Consent Items.

















