
WHERE WAS CUSD in all of this? Please read - especially you have a child at Tesoro.
Parents and the PUBLIC should have been received warned and provided with an opportunity to state their objections to the start of construction of this project before it began. CUSD should have known that without a tall, dense, evergreen vegetative barrier in place students at Tesoro High School (which the developer said some vegetation was already in place) could be exposed to pesticides, and contamination from ordnance. In addition the document shows that students are at risk for noise levels that maybe unacceptable and the building itself may be damaged by vibration from construction and heavy traffic flow.
See: The invisible hazard afflicting thousands of schools. Across the country, in big cities and small towns, kids attend schools so close to busy roads that traffic exhaust poses a health risk.
https://www.publicintegrity.org/2017/02/17/20716/invisible-hazard-afflicting-thousands-schools
Find out what's happening in San Juan Capistranofor free with the latest updates from Patch.

The following items must be reviewed to determine if they will have any negative effects on students before this project is allowed to continue:
- Soil Hazard Maps - Soil Liquification
- Residual Pesticides from being agricultural land
- Residual Ordnance from being in the target practice area of the former Trabuco bombing range.
- Noise pollution - no sound barrier.
- There is no final wetlands plan?
The County of Orange is allowing the construction of two simultaneous projects (the Oso Bridge Project and the F Street aka Los Patrones Parkway project) to be constructed simultaneously. When both projects are completed the result will be an extension of the 241 Toll road from Oso Parkway to the Ortega. On March 28, 2017 the County of Orange concluded that no new Environmental Impact Report was needed because:
"(1) the Oso Parkway Bridge Project does not represent a substantial change from the Project evaluated in FEIR 584 and FEIR 589."
Find out what's happening in San Juan Capistranofor free with the latest updates from Patch.
Oso Parkway Bridge Project Attachment A at page 152
http://cams.ocgov.com/Web_Publisher/Agenda03_28_2017_files/images/O00817-000212A.PDF
The original FEIR 589 was completed in 2004, and the original documents called for the extension of the 241 to be along the Tesoro alignment with "F Street" aka "Los Patrones Parkway" being a separate "Local Collector Road". The documents clearly state that both the 241 and Los Patrones Parkway will terminate at Oso - there is no direct connection between the 241 and Los Patrones.
Environmental Impact Report No. 589 Exhibit 3-22
http://www.ocpublicworks.com/civicax/filebank/blobdload.aspx?blobid=45926
There has been a substantial change in this project since 2004. What is currently under construction is the conversion of Los Patrones Parkway into the 241 extension south. The alignment has been shifted from the original Tesoro alignment and has made F Street/Los Patrones the new 241 extension which will bring the toll road bring the 241 Toll Road within 500 feet of Tesoro High School.
Source: OSO Parkway Bridge Project Initial Study No. IP 15-252 at page 294
http://cams.ocgov.com/Web_Publisher/Agenda03_28_2017_files/images/O00817-000212A.PDF
Having a Toll Road within 500 feet of a school is a substantial change from the original EIR's and poses severe health and safety risks to students at Tesoro High School.
The County of Orange, The TCA, The Rancho Mission Viejo Company and the Capistrano Unified School District are showing a blatant disregard for the health and safety of students by allowing this construction to continue without new environmental testing and full compliance with NEPA and CEQUA.
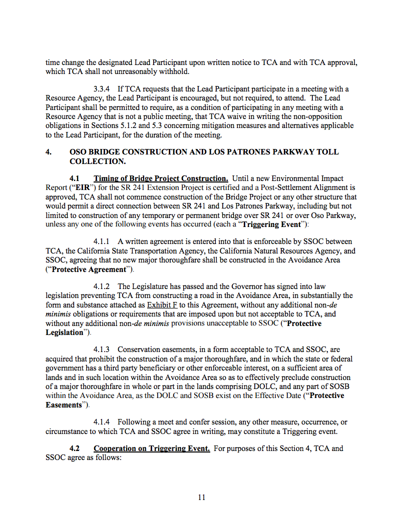
The November 16, 2016 Settlement Agreement "State Route 241 Foothill South and Tesoro Extensions Settlement Agreement clearly states on page 11:
https://www.thetollroads.com/sites/default/files/pdf/Settlement_Agreement.pdf
"TCA shall not commence construction of the Bridge Project or any other structure that
would permit a direct connection between SR 241 and Los Patrones Parkway, including but not
limited to construction of any temporary or permanent bridge over SR 241 or over Oso Parkway,
unless any one of the following events has occurred"-
On February 8, 2016 Attorney William J. White of Shute, Mihaly & Weinberger LLP representing the San San Onofre Coalition wrote the Orange County Board of Supervisors a letter expressing their concern over the Oso Bridge Project stating at page 2:
http://cams.ocgov.com/Web_Publ...
"The Coalition is concerned that TCA is now using the Oso Bridge project as an attempt to circumvent the decision of the Water Boards by building a direct connection between the current 241 terminus and Los Patrones Parkway, a county arterial built in lieu of Tesoro. The bridge appears to have no purpose other than to create a direct connection that would allow the Parkway to effectively serve as an extension of the 241tollroad - in other words, to become the equivalent of the Tesoro Extension. Thus, as with Tesoro, the Oso Bridge project may not be approved until TCA has identified the full scope of the 241 extension project and has conducted a full environmental review of that project as CEQA requires."
The letter contains over a thousand pages of documentation with correspondence that clearly shows and change in alignment of the Toll Road extension would require a new environmental review and compliance with both NEPA and CEQA.
I spoke with Attorney William J. White and the triggering event was 4.1.2
"The Legislature has passed and the Governor has signed into law legislation preventing TCA from constructing a road in the Avoidance Area, in substantially the form and substance attached as Exhibit F to this Agreement, without any additional non-de minimis obligations or requirements that are imposed upon but not acceptable to TCA, and without any additional non-de minimis provisions unacceptable to SSOC (“Protective Legislation”)"

The documentation provided in Mr. White's letter clearly shows that the change in alignment of the Toll Road to F Street/Las Patrones requires Federal review under NEPA.

Since February 5, 2016 the County of Orange has taken it upon itself to allow the grading and construction of the 241 Toll Road extension along the Los Patrones Parkway alignment (500' from Tesoro High School) in violation of both NEPA and CEQA and without any regard for the health and safety of students. When the Ranch transferred the land to the County they disclosed that their may be pesticides in the soil which would require that CEQA be re-opened.
The Rancho Mission Viejo Company, the County and TCA worked together to construct the Tollroad in pieces for the purposes of circumventing any new environmental review.
http://cams.ocgov.com/Web_Publisher_Sam/Agenda02_09_2016_files/images/8-02092016_9847560.PDF
http://cams.ocgov.com/Web_Publisher_Sam/Agenda02_09_2016_files/images/O00815-001715A.PDF
http://cams.ocgov.com/Web_Publisher/Agenda06_24_2014_files/images/O00614-000951E.PDF
The County of Orange, Rancho Mission Viejo, the TCA have done a great dis-service to students in the Capistrano Unified School District and the PUBLIC with there actions, and shame on CUSD for their silence. Trustees have a fiduciary duty to represent the interests of taxpayers and students in all matters before the Board.
