Politics & Government
Mayor Slams Sherri Reardon's Idea Of Raising Fuel Taxes In Joliet
Mayor Bob O'Dekirk called out the first-term city council member for her unpopular idea of raising Joliet's fuel taxes.

JOLIET, IL — At Tuesday night's meeting, newly elected city councilwoman Sherri Reardon sat silent as Mayor Bob O'Dekirk presented data to show why her recent suggestion of jacking up Joliet's fuel taxes on local residents and visitors to Joliet was a terrible idea. Reardon offered her suggestion shortly after Governor J.B. Pritzker raised the Illinois gas tax by 19 cents per gallon. Reardon has made generalized claims that Joliet's vehicle fleet is in terrible shape.
At the August 6 meeting, Reardon declared, "we are in an immediate need of $16 million for our decaying vehicles. We will be doing a presentation to let the people see what is really going on there." Back in July, The Joliet Herald-News print newspaper quoted Reardon as saying, "We're not just putting the tax on residents of Joliet. Anyone who buys gas in Joliet would be paying this tax, and we'd be able to use it to replace our vehicles."
But Tuesday night, Mayor O'Dekirk informed Reardon and the rest of the city council that the idea of raising the city's fuel taxes appears unnecessary. Two weeks ago, O'Dekirk and Councilman Larry Hug took Reardon to task, saying she was using scare tactics in her attempt to leave the residents of Joliet with the false impression that the city vehicle fleet was in sorry shape.
Find out what's happening in Jolietfor free with the latest updates from Patch.
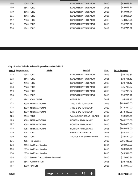
Since 2016, the mayor explained Tuesday night, the city of Joliet has purchased a total of 128 new vehicles, plus seven new trailers and two new golf carts. The 137 new vehicles cost more than $8.3 million. The new vehicles include snow plows, dump trucks, fire engines, ambulances and police cars.
A full list of the city's new vehicle purchases since 2016 appears at the bottom of this article.
Find out what's happening in Jolietfor free with the latest updates from Patch.
All of these new vehicle purchases were made with discretionary city funds, meaning Joliet did not need to raise the taxes of residents to pay for them, the mayor explained to the council.
"I think that's the model we should be driving for moving forward," O'Dekirk said Tuesday night.
Reardon, as Joliet Patch has previously reported, is a pivotal member of the Joliet City Council's Pat Mudron 5 voting block. Mudron's group represents the Old Guard of Joliet's politics.
But for now anyway, other members of the Mudron 5 do not appear to be publicly supportive of Reardon's suggestion of raising the city's fuel taxes to buy $16 million in new city vehicles.
Get more local news delivered straight to your inbox. Sign up for free Patch newsletters and alerts.