Politics & Government
Possible NJ Shutdown Looms As 100 School Districts Could Lose Aid
NJ Gov. Phil Murphy is preparing for a possible shutdown threatened by a top lawmaker who wants to cut state money from about 100 districts.
New Jersey Gov. Phil Murphy and state lawmakers are preparing for a possible shutdown that's been threatened by a top lawmaker who wants to cut state aid to about 100 districts.
The Murphy administration also sent out a contingency plan on Friday since Democratic Senate President Stephen Sweeney noted at a Thursday press conference that, after shutting down the government last year, "I'm willing to do it again."
At issue is Sweeney's strong push for legislation that would modify the state’s school funding law, phasing out the so-called “adjustment aid” that, he believes, compensates districts that don't need it anymore.
Find out what's happening in Toms Riverfor free with the latest updates from Patch.
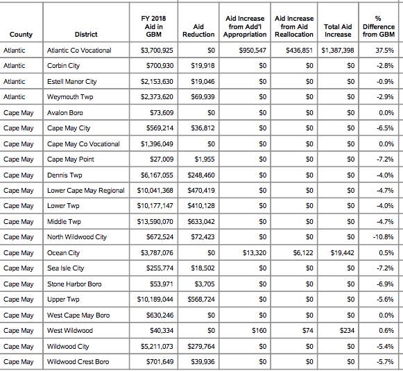
See list of New Jersey school districts that could be impacted below.
Sweeney said reforms are needed to allow the school aid formula to "realize its goal of providing full and fair funding for all of New Jersey’s school districts."
Find out what's happening in Toms Riverfor free with the latest updates from Patch.
The changes would shift $68 million from districts Sweeney considers overfunded to some of the most "underfunded" ones and ensure every district receives at least 58 percent of the funding they should receive from the state, according to Politico, adding that some districts are funded at 20 percent or 45 percent.
The New Jersey Future Fund has listed districts that it considers underfunded and overfunded (see below).
The Murphy administration, meanwhile, has released proposed state aid numbers for every school district in the 2018-19 school year with the objective of providing aid increases – some of them sizable – to nearly every school district.
Read more: New NJ State School Aid Figures Released: Who Gets The Big Hike?
The budget talks have led to some heated discussions, according to nj.com, between the Murphy administration and Sweeney's people – both Democrats, ironically.
As a possible impasse loomed, Matthew J. Platkin, chief counsel to the Murphy administration, distributed a memo Friday that says the administration "remains committed to working with the legislature to successfully achieve a balanced budget by June 30th."
As a general rule, Platkin said, if an appropriations bill is not signed by midnight July 1, "no payments can be made from the state Treasury and no obligations to pay state funds can be incurred."
"Departmental contingency plans must be updated to ensure an orderly shutdown of state government, provide essential services and protect state property," he said.
It would be the first shutdown since last July, when Gov. Chris Christie was captured in photos sitting on the closed state-run Island Beach State Park with his family. The "Beachgate" incident also sparked a number of internet memes, using Christie's image in the sun as a prop for photos with Forrest Gump and many others.
As the controversy continued, Christie and lawmakers made a budget deal and ended the shutdown.
Under Sweeney's plan, a number of districts could lose millions in so-called "adjustment aid," which was created in 2008 to make sure districts would not see big drops in their state aid when a new formula went into effect.
Looking at 2017-18 proposed adjustment aid figures, Toms River and Brick are among a number of districts that would see cuts exceeding $1 million in funding. (see below). Other districts that could see cuts of more than $1 million include: Washington Township in Gloucester County; Vineland; Middletown; Manalapan-Englishtown and Neptune.
Sweeney said that the original school funding law enacted in 2008 was a fair and equitable plan that was undermined by legislative changes that were supposed to be phased out within a few years but have remained in place.
By remaining in place, he said, the adjustment aid effectively undermines the state’s ability to make the funding formula fully effective.
“The School Funding Reform Act of 2008 promised to provide full and fair funding for all schoolchildren,” Sweeney said. “State aid was supposed to be distributed based on a formula that took into account each town’s property tax base, its ability to pay, changes in enrollment and the special needs of the children. Nine years later, both adjustment aid and the growth cap are still in place, and state aid has been virtually flat. The state broke its promise by failing to properly fund the formula and meet the changing needs of school districts.”
Here are the possible adjustment aid decreases that each district could face, arranged according to legislative districts, and based on 2017-18 proposed figures:
LEGISLATIVE DISTRICT 1


LEGISLATIVE DISTRICT 2

LEGISLATIVE DISTRICT 3


LEGISLATIVE DISTRICT 4

LEGISLATIVE DISTRICT 5


LEGISLATIVE DISTRICT 6

LEGISLATIVE DISTRICT 7

LEGISLATIVE DISTRICT 8


LEGISLATIVE DISTRICT 9

LEGISLATIVE DISTRICT 10

LEGISLATIVE DISTRICT 11


LEGISLATIVE DISTRICT 12

LEGISLATIVE DISTRICT 13


LEGISLATIVE DISTRICT 14

LEGISLATIVE DISTRICT 15

LEGISLATIVE DISTRICT 16

LEGISLATIVE DISTRICT 17

LEGISLATIVE DISTRICT 18

LEGISLATIVE DISTRICT 19

LEGISLATIVE DISTRICT 20

LEGISLATIVE DISTRICT 21

LEGISLATIVE DISTRICT 22

LEGISLATIVE DISTRICT 23


LEGISLATIVE DISTRICT 24


LEGISLATIVE DISTRICT 25


LEGISLATIVE DISTRICT 26

LEGISLATIVE DISTRICT 27

LEGISLATIVE DISTRICT 28

LEGISLATIVE DISTRICT 29

LEGISLATIVE DISTRICT 30

LEGISLATIVE DISTRICT 31

LEGISLATIVE DISTRICT 32

LEGISLATIVE DISTRICT 33

LEGISLATIVE DISTRICT 34

LEGISLATIVE DISTRICT 35

LEGISLATIVE DISTRICT 36

LEGISLATIVE DISTRICT 37

LEGISLATIVE DISTRICT 38

LEGISLATIVE DISTRICT 39


LEGISLATIVE DISTRICT 40


These are the districts New Jersey Future Fund considers overfunded:


These are the underfunded districts:


Photo by Spencer Platt/Getty Images
Get more local news delivered straight to your inbox. Sign up for free Patch newsletters and alerts.