Schools
Charter School Hatches Plan To Avoid Oversight
Citizens of the World will open a franchise "adjacent" to Culver City where its operations will be subject to LAUSD rules that are more lax.

“The Board may revoke a charter whenever it finds, through a showing of substantial evidence, that the charter school has…failed to meet or pursue any of the student outcomes identified in the charter.” - Culver City Unified School District
While the LAUSD put a former California Charter School Association employee in charge of its Charter School Division, the school board in Culver City has taken a more proactive approach towards protecting the public school students that it represents. In a Comprehensive Plan that was adopted in 2008, this smaller district lays out rules that charter schools must follow in order to operate within Culver City. Had the LAUSD enforced similar rules during the past decade, the Citizens of the World nationwide chain of charter schools would have been forced to operate in a more ethical manner. The bad practices that could have been prevented include:
- Overestimating Enrollment

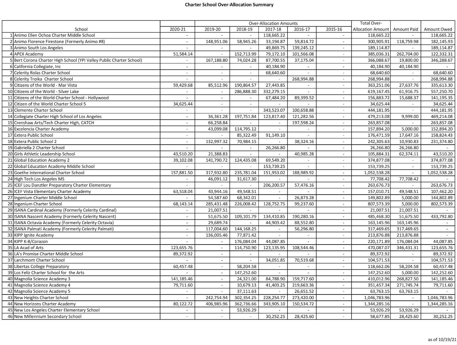
Citizens of the World has consistently made projections for enrollment that had no bearing in reality. During the past five years this has resulted in a $1,173,927.67 assessment in overallocation fees, much of it remaining unpaid. Contributing to these inaccurate enrollment estimates are operating procedures that allow signatures of parents who are supposed to have “meaningful interest” in the school but have no real intention of enrolling to be purposefully collected. In a Facebook post, the principal of the chain’s Hollywood franchise referred to the collection of these signatures as a “fun game schools get to play each year” and told parents that signing the form would “not impact [their] family’s plans for what school [they] would like to attend”.
Unlike the LAUSD, Culver City’s board recognizes the potential for fraud in the system and, therefore, requires charter schools to “include a prominent statement explaining that a signature means that the parent/guardian is meaningfully interested in having his/her child attend the charter school.” This lets parents signing the form know that they are not participating in a “game,” but taking an action that has real consequences, if not for their family then for other families attending public schools. Such a requirement would have prevented the students at Shirley Avenue Elementary School from giving up space for special education programs, parent centers, and a robotics lab so that Citizens of the World can let these rooms sit empty.
Find out what's happening in Los Angelesfor free with the latest updates from Patch.
- Resegregation Of Schools

Throughout its history, Citizens of the World has operated schools that do not reflect the demographic make-up of the area where they are located. In the West Valley, this has resulted in children from socioeconomically disadvantaged areas having space taken away from them so that more affluent children can attend a publicly financed private school. Shirley students with special education needs are pushed aside to make room for Citizens of the World’s general education students.
In comparison, Culver City specifies that proposed charter schools must describe “the means by which the school will achieve a racial and ethnic balance among its students that is reflective of the general population residing within the District’s territorial jurisdiction.” Since these charters are warned that “a material violation of any of the conditions, standards, or procedures set forth in the charter,” a failure to follow through with these plans could result in the closure of the campus.
Find out what's happening in Los Angelesfor free with the latest updates from Patch.
- Making Unauthorized Changes To The Charter

The East Valley Citizens of the World applied for a charter that would operate in Van Nuys. When the campus opened this year, it was instead located in Valley Village. Since the application had failed to include nearby schools like Colfax and Dixie Canyon in its list of affected schools, a material revision should have been required before the move was made. Instead, the Charter School Division approved the change without going to the board for approval, thereby granting a de facto material revision.
Culver City’s rules prevent this kind of bait and switch. It clearly states that “material revisions to a charter may be made only with Board approval.” They also specify that this kind of change must be considered in an open meeting. In comparison, the parents at Colfax and Dixie Canyon were deprived of any opportunity to have their opinions heard before a charter chain, with a history of parasitic activity, was allowed to move into their neighborhood.

In an application for a grant from the Betsy DeVos’ Education Department, the parent chain of Citizens of the World declared its intention to target Culver City for its next expansion in the Los Angeles area. However, instead of subjecting itself to the strict rules of the small school district, the new franchise will be “Culver City Adjacent.” This will allow the school to be authorized by the LAUSD and their school board controlled by a majority of members elected with the help of the California Charter School Association (CCSA) and its allies. From this “adjacent” location, the Citizens of the World can poach students from Culver City without being subject to this district’s oversight.
With the Citizens of the World chain in arrears to the LAUSD in the amount of $1,068,684.79, the LAUSD should be looking to close down their existing campuses, not allowing them to expand. This is especially true if the targeted area of expansion will hurt a small district where 44% of the students receive Free and Reduced Lunch. AB1505 gave the LAUSD the tools it needed to hold schools like Citizens of the World accountable for their actions. Its Board needs to put their personal loyalties aside and start using these tools to act on behalf of the public school students they were elected to represent, even if it costs them funding from the CCSA during next year’s election season.
Carl Petersen is a parent advocate for students with special education needs and public education. He is an elected member of the Northridge East Neighborhood Council and serves as the Education Chair. As a Green Party candidate in LAUSD’s District 2 School Board race, he was endorsed by Network for Public Education (NPE) Action. Dr. Diane Ravitch has called him “a valiant fighter for public schools in Los Angeles.” For links to his blogs, please visit www.ChangeTheLAUSD.com. Opinions are his own.