Politics & Government
Brookline To Consider Buying Newbury College Property
After residents put together a petition there will be a Special Town Meeting held by April 9, according to officials.

BROOKLINE, MA — This week more than 300 residents signed a petition to ask the Town to call a Special Town Meeting to officially consider buying Newbury College.
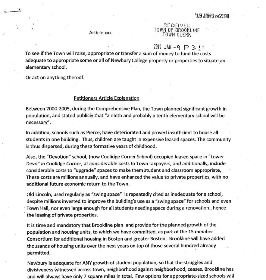
"A citizen petition was filed to call a Special Town Meeting to consider whether '…the Town will raise, appropriate or transfer a sum of money adequate to appropriate some or all of Newbury College property or properties to situate an elementary school.'" Select Board Chair Neil Wishinsky announced Friday.
And so, with more than enough signatures, there will be another Special Town Meeting in the next few months.
Find out what's happening in Brooklinefor free with the latest updates from Patch.
When 200 registered voters or 20 percent of registered voters sign a petition asking for a Special Town Meeting, it goes to the Town Clerk, who goes through the list to make sure all the names are residents. Once that's certified, the Town has 90 days to meet, according to Deputy Town Administrator Mellissa Goff.
Town Clerk Pat Ward said the petition came to his office on Jan. 9, and he certified it that same day. As such, the Special Town Meeting should be held sometime before April 9, although it's not clear what date it will be held just yet. And if you're thinking there have sure been a lot of Town Meetings lately, you would be forgiven. This comes a month after a Special Town Meeting and as Town Hall is already in the middle of preparing to open the Warrant for the Annual Town Meeting on May 21. Oh, and on May 7 there's a vote to elect a new chairperson for the Select Board.
Find out what's happening in Brooklinefor free with the latest updates from Patch.
Although it's not immediately clear who started the petition, four names were associated with the Warrant Article proposal including, Town Meeting Members Janice Kahn, Kristine Knauf, both of Precinct 15, and Daniel Saltzman of Precinct 6 and Regina Frawley of Precinct 16.
The Select Board is set to discuss the warrant article next week, along with a reserve fund transfer for cost of holding it a Special Town Meeting, and then a reserve fund transfer for a study of the site.
For years, Brookline has been searching and narrowing options to find a ninth elementary school and has discussed the possible need for a tenth to address space needs in the district. Although the Town voted to support the ninth elementary school at the Baldwin site and that plan moved ahead to fund a schematic design there at the last Special Town Meeting in December, it has been contentious.
When Newbury College announced it would close the day after Town Meeting met, even before the college officials were talking about what to do with the 7 acres of land and buildings, residents in Brookline were asking Wishinksy and each other about the possibility of purchasing the property for a new elementary school. It seemed like the perfect answer, a turnkey solution, even.
While it would be blocks from another k-8, Wishinsky told town legislators late last year that the town was considering purchasing the property for a number of needs. But there was no sign the school was even for sale, yet.
Then, while residents were securing signatures, Wishinksy said the board was already preparing to set up a committee to look into acquiring the school property.
Tuesday, the day before the petition was sent in, the Select Board voted to establish a Newbury College Acquisition Advisory Committee to advise the board regarding a potential acquisition of property from Newbury College.
When the petition landed on Wednesday, Wishinsky said he was a bit surprised.
"What I thought was,'we were doing what the proponents of that petition were asking anyway. So I didn't think it was necessary, but OK'," he said.
The board's committee has a bit of a broader task, while looking at the narrow issues of how to formulate a bid, and a high level look at what kinds of things should the Town should think about using the campus for.
"It's more of an acquisitions strategy committee," he said.
Wishinsky said the town would likely have to pay market price for the land, which is prime. To put that into perspective, consider that a 14-acre residential estate is on the market in Brookline for some $70 million.
Brookline would also likely have to compete for the land, as developers eye the area, too.
"There's a lot of uncertainty around this," said Wishinsky.
Newbury, meanwhile is trying to wind down a college and it's a very complex undertaking, involving the Attorney General's office and the State Education Commission.
Town officials also noted the buildings are not easily converted to elementary school use.
"This thing isn't going to be quick or easy for either the college or the town. The notion that it's a turnkey solution is just wrong and it just, frankly an urban myth," said Wishinsky.
As for what Newbury officials think of all this?
"Right now no one at Newbury is commenting," a spokesperson for the College said to Patch in an email. "The focus right now is entirely on students, and we’re partnering with area colleges and universities to successfully transition students to other schools after this semester. We’ll release more information once it’s finalized and will potentially make public comments on other items including a sale down the road a bit, but for right now college officials have no further comment."
The full email from Wishinsky sent Thursday Jan. 10:
I’m writing tonight to let Town Meeting Members know that yesterday a citizen petition was filed to call a Special Town Meeting to consider whether “…the Town will raise, appropriate or transfer a sum of money adequate to appropriate some or all of Newbury College property or properties to situate an elementary school.”
The petition has more than the 200 signatures required to call a Special Town Meeting (STM). I am therefore assuming that at least 200 signatures will be certified by the Town Clerk and the threshold required to call a STM will be met.
According to Town Counsel, under Chapter 269 of the Acts of 1985, an STM may be called in response to such a petition up to 90 days after its receipt. My unofficial calculation puts the deadline for a meeting at April 9, 2019. I anticipate that the Select Board will sign the warrant and set the meeting date at an upcoming meeting; I’ll write when more information about the schedule is available. The bottom-line is that there will be an STM on or prior to April 9 in addition to the Annual Town Meeting which has been set for May 23 (and prior to the Town election which is set for May 7.)
You should also be aware that at the Select Board’s meeting on Tuesday (prior to receipt of the petition), the Board voted to establish a Newbury College Acquisition Advisory Committee to advise the Board regarding a potential acquisition of property from Newbury College. The Board will vote to approve a charge and appoint members this coming Tuesday. The committee will include at least one Fisher Hill area resident. The Select Board will also request a reserve fund transfer to fund the professional services necessary to evaluate a potential purchase from Newbury College; services may include legal, planning, appraisal and among others. (Town Meeting Members should be aware that the Board will need to make a second reserve fund request to cover the costs associated with the Special Town Meeting.)
During the past week, the Town has been in touch with Newbury College and has learned that it will be engaging in a structured process of soliciting bids from potential buyers. Newbury is aware of the Town’s interest and its leadership has stated that they will keep the Town informed of their deadlines and progress.
I urge Town Meeting to remember that this is a sad time for the Newbury community. To date the college’s focus has been its students and assisting them in developing plans for successfully completing their education at other institutions with minimal disruption. The College’s leaders only recently began to discuss the sale of its campus, and there are many details that have not yet been worked out.
Newbury’s closing presents risks for the Town, but it is also a unique opportunity. It is not often that 10 prime acres becomes available in Brookline. Fortunately, the Town recently completed a Strategic Asset Plan (SAP) which identified many Town needs. The SAP provides a good starting point for thinking about the kinds of municipal uses we should be considering for the site in addition to educational uses. If you are interested the SAP is located here:
https://www.brooklinema.gov/…/14147/Strategic-Asset-Plan-PDF
Lastly, the Town is continuing the schematic design processes for both the Driscoll and Baldwin School projects. The Select Board remains committed to these projects. I am told that construction projects in eastern Massachusetts are experiencing construction escalation of 6-8% per year. Nothing about the Newbury site is certain including its feasibility and desirability (including cost) as the site of a new elementary school. Preliminary indications are that the site is not easily converted to elementary school use. Nor would a purchase, if successful, necessarily be quick. The Board believes there is more at risk by delaying the design than completing this design phase. Additionally, I remind Town Meeting that the only remaining contingency on the purchase of the Oak St. property was a 2/3 vote of Town Meeting which was met at last month’s Special Town Meeting. The Town is now obligated to purchase the property, and the Board intends to honor that commitment.
In closing, while the last few months of my time on the Board are not going to be the quiet time that I had expected (and hoped for) I will continue to work hard on behalf of the Town and its residents up until my term expires in May.
Check out the Warrant Article:


Watch this space for updates today.
RELATED:
- Brookline Eyes Newbury Land After College Closure Announcement
- Brookline's Newbury College To Close, Cites Financial Issues
- Brookline's Driscoll, Baldwin School Projects Move Forward
Subscribe to Brookline Patch for more local news and real-time alerts.
Photo by Jenna Fisher/Patch Staff who can be reached at Jenna.Fisher@patch.com or by calling 617-942-0474. Follow her on Twitter and Instagram (@ReporterJenna).
Get more local news delivered straight to your inbox. Sign up for free Patch newsletters and alerts.